RESULTS 2016
UNION COUNTY WEST END FAIR
GARDEN TRACTOR PULL
2016-08-03
| PDF |
|
JPG |
|
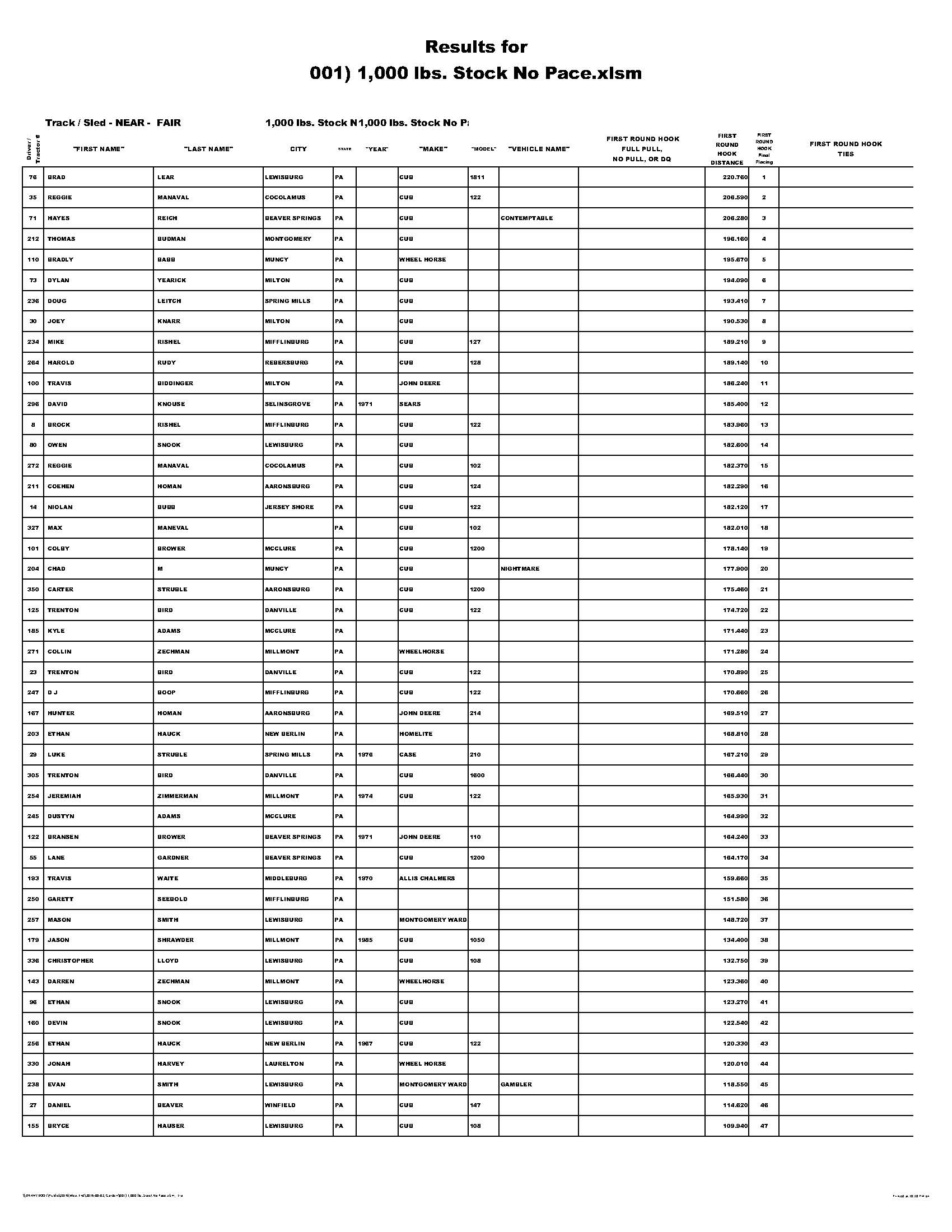
001) 1,000 lbs. Stock No Pace.pdf
|
|
001) 1,000 lbs. Stock No Pace_Page_1.jpg
001) 1,000 lbs. Stock No Pace_Page_2.jpg
|
| 002) 1,050 lbs. Stock Altered.pdf |
|
002) 1,050 lbs. Stock Altered.jpg |
| 003) 1,050 lbs. Twin Stock No Pace-90% Payback.pdf |
|
003) 1,050 lbs. Twin Stock No Pace-90% Payback.jpg |
| 004) 1,050 lbs. Pro Stock.pdf |
|
004) 1,050 lbs. Pro Stock.jpg |
| 005) 1,150 lbs. Diesel Garden.pdf |
|
005) 1,150 lbs. Diesel Garden.jpg |
| 006) 1,050 lbs. Stock Altered.pdf |
|
006) 1,050 lbs. Stock Altered.jpg |
| 007) 1,050 lbs. Twin Stock No Pace-90% Payback.pdf |
|
007) 1,050 lbs. Twin Stock No Pace-90% Payback.jpg |
| 008) 1,050 lbs. Pro Stock.pdf |
|
008) 1,050 lbs. Pro Stock.jpg |
| 009) 1,100 lbs. Stock No Pace.pdf |
|
009) 1,100 lbs. Stock No Pace.jpg |